[Chapter-9] 트랜지스터
Transistor는 회로설계에서 정말 많이 사용하는 소자입니다. 대학때 배울때는 증폭기라고 배웁니다. 전 제가 멍청해서 인지 이 말을 이해하는데 1년이 걸렸습니다. 1을 넣으면 2나 3이 되어서 나온다고 이해했으니 말이죠. 회로에서 트랜지스터는 주로 스위칭 역할을 하고 또는 증폭기로서 역할을 합니다.
1. 트랜지스터의 기본 구조

지난 포스팅에서 다뤘던 다이오드 기억나시나요? 다이오드는 N형 반도체와 P형 반도체를 접합해서 만들었죠? 트랜지스트는 N형반도체+P형반도체+N형반도체를 접합해서 만들거나 P형반도체+N형반도체+P형반도체를 접합해서 만듭니다. 어떻게 접합했느냐에 따라서 NPN 트랜지스터 또는 PNP트랜지스터가 있습니다. 트랜지스터는 위 그림과 같이 3개의 전극, 각각 에미터(E:Emitter), 베이스(B:BASE), 콜렉터(C:Collector)를 가지고 있습니다. 에미터와 콜렉터 사이에 얇은 베이스 층이 존재하며, 베이스-에미터 간에 전류를 흘려 보내면 콜렉터-에미터 간의 전류를 제어할 수 있으며 전류 증폭 효과가 있습니다. N형 반도체와 P형 반도체의 결합에 따라 NPN형과 PNP형이 있으며 전류 흐름 방향이 반대됩니다. 트랜지스터로서의 특성은 NPN형과 PNP형에서 동일합니다.
2. 트랜지스터의 특성
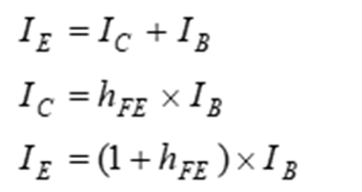
1) 전류 증폭률 (hFE)
IE, IB, IC의 관계는 다음과 같습니다.

- hFE: 직류 전류 증폭률
hFE는 소자 간 변동이 크며, 콜렉터 전류나 콜렉터-에미터 간 전압에 따라 다소 변합니다. 따라서 hFE에 의한 특성 변화가 있는 설계는 피해야 합니다.
2) 베이스-에미터 간 전압 (VBE)
베이스-에미터 간은 그림 1의 구조로 인해 다이오드 특성을 나타내며, VBE가 약 0.6V 이하에서는 베이스 전류가 흐르지 않습니다. VBE가 약 0.6V 이상이면 베이스 전류가 급격히 증가합니다. 따라서 트랜지스터가 작동하는 동안 VBE는 일반적으로 0.6~0.7V입니다. VBE의 역전압 내성은 낮아서 일반적으로 5V 근처입니다.
3) 콜렉터-에미터 간 전압 (VCE)
콜렉터-에미터 간에는 다이오드가 역방향으로 연결되어 있기 때문에 베이스 전류가 없으면 콜렉터 전류가 흐르지 않습니다. 이 영역을 “컷오프 영역”이라고 합니다. 또한 콜렉터-에미터 간 전압을 변경하더라도 베이스 전류가 일정한 경우 콜렉터 전류가 크게 변하지 않는 영역이 있으며, 이를 “능동 영역”이라고 합니다. 또한 베이스 전류를 변경해도 콜렉터 전류가 크게 변하는 영역을 “포화 영역”이라고 합니다. 증폭 회로는 주로 능동 영역을 사용하고, 스위칭 회로는 컷오프 영역과 포화 영역을 사용합니다.
4) 콜렉터 손실 (PC)
콜렉터-에미터 간 전압이 가해지고 콜렉터 전류가 흐를 때 트랜지스터 자체에서 전력 소비가 발생합니다. 이를 “콜렉터 손실”이라고 합니다.